电子工程师入门篇-入门基础

电子工程师入门篇-入门基础
为巽1.1.1 电路与电路图
电源的作用是提供电能;开关、导线的作用是控制和传递电能,称为中间环节;灯泡是消耗电能的用电器,它能将电能转变为光能,称为负载。
1.1.2 电流与电阻
1.电流
我们把电子运动的反方向作为电流方向,即把正电荷在电路中的移动方向规定为电流的方向。
电流通常用字母“I”表示,单位为安培(简称安),用“A”表示,比安培小的单位有毫安(mA)、微安(μA),它们之间的换算关系为
2.电阻
导体对电流的阻碍称为该导体的电阻。
电阻通常用字母“R”表示,电阻的单位为欧姆(简称欧),用“Ω”表示,比欧姆大的单位 有千欧(kΩ)、兆欧(MΩ),它们之间的换算关系为
导体的电阻计算公式为
L 为导体的长度(单位:m),S 为导体的横截面积(单位:m2),ρ 为导体的电阻率(单位:Ω·m)
在长度 L 和横截面积 S 相同的情况下,电阻率越大的导体其电阻越大
1.1.3 电位、电压和电动势
1.电位
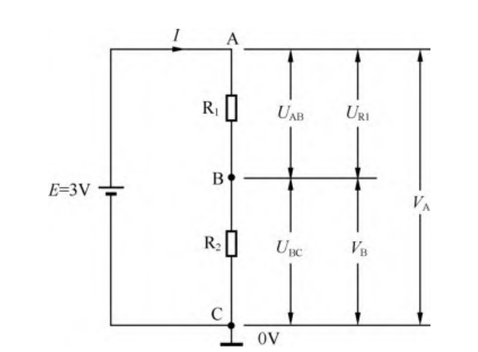
电源的正极输出电流,流到 A 点,再经 R1 流到 B 点,然后通过 R2 流到 C 点,最后流到电源的负极。
为了表明某点为零基准点,通常在该点处画一个“⊥”符号,该符号称为接地符号,接 地符号处的电位规定为 0V
2.电压
电路中的 A 点和 B 点的电位是不同的,有一定的差距,这种电位之间的差距称为电位差,又称电压
因为 A 点和 B 点电位差实际上就是电阻器 R1 两端的电位差(即电压), R1 两端的电压用 UR1 表示,所以 UAB=UR1。
3.电动势
电源消耗能量在两极建立的电位差称为电动势,电动势的单位也为伏特
由于电源内部的电流是由负极流向正极,故电源的电动势方向规定为从电源负极指向正极。
1.1.4 电路的 3 种状态
1.通路
电路处于通路状态的特点有:电路畅通,有正常的电流流过负载,负载正常工作。
2.开路
电路处于开路状态的特点有:电路断开,无电流流过负载,负载不工作。
3.短路
电路处于短路状态的特点有:电路中有很大电流流过,但电流不流过负载,负载不工作。
1.1.5 接地与屏蔽
1.接地
(1)在电路中,接地符号处的电位规定为 0V。
(2)在电路中,标有接地符号的地方都是相通的。
2.屏蔽
屏蔽的具体做法是用金属材料(称为屏蔽罩)将元器件或电路封闭起来,再将屏蔽罩接地。
1.1.6 欧姆定律
在电路中,流过电阻的电流 I 的大小与电阻两端的电压 U 成正比,与电阻 R 的大小成反比,即
也可以是U=IR 或者 R=U/I 注意:在电路中,某点电压指的是该点与地之间的电压
1.1.7 电功、电功率和焦耳定律
1.电功
可见电流流过一些用电设备时是会做功的,电流做的功称为电功。
W 表示电功,单位为焦(J);U 表示电压,单位为伏(V);I 表示电流,单位为安(A);t 表示时间,单位为秒(s)
2.电功率
电功率是指单位时间里电流通过用电设备所做的功。
电功率常用 P 表示,单位为瓦(W),此外还有千瓦(kW)和毫瓦(mW),它们之间的换算关系是
电功率的计算公式是
1kW·h 可以这样理解:一个电功率为 100W 的灯泡连续使用 10h 消耗的电功为 1kW·h,即消耗 1 度电。
3.焦耳定律
电流流过导体,导体发出的热量与导体流过的电流、导体的电阻和通电的时间有关。
Q 表示热量,单位为焦耳(J);R 表示电阻,单位为欧姆(Ω);t 表示时间,单位为秒(s)。
该定律说明:电流流过导体产生的热量,与电流的平方、导体的电阻及通电时间成正比。
1.2 电阻的连接方式
1.2.1 电阻的串联
电阻串联电路的特点有以下几个。:
① 流过各串联电阻的电流相等,都为I。
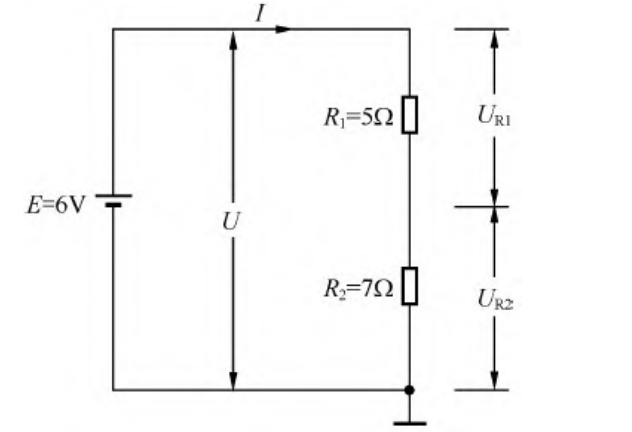
② 电阻串联后的总电阻增大,总电阻等于各串联电阻之和,即R=R1+R2
③ 总电压等于各串联电阻上电压之和,即U=U1+U2
④ 电阻越大,两端电压越高,因为R1<R2,所以UR1<UR2。
1.2.2 电阻的并联
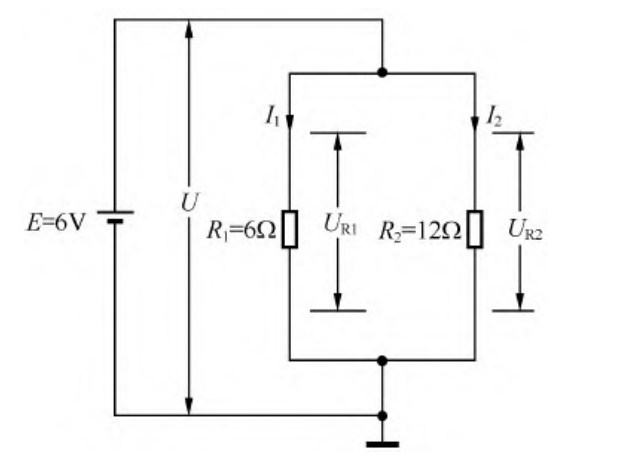
电阻并联电路的特点有以下几个。
① 并联电阻两端的电压相等,即总电流等于流过各个并联电阻的电流之和,即I=I1+I2
③ 电阻并联总电阻减小,总电阻的倒数等于各并联电阻的倒数之 1/R=1/R1+1/R2和,即该式子可变形为 R=R1R2/R1+R2
④ 在并联电路中,电阻越小,流过电阻的电流越大,因为 R1<R2,所以 I1>I2。
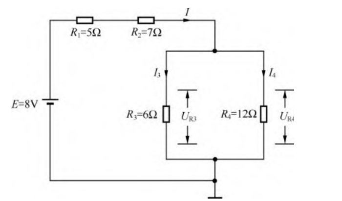
1.2.3 电阻的混联
1.3 直流电与交流电
1.3.1 直流电
直流电是指方向始终固定不变的电压或电流。
1.稳定直流电
稳定直流电是指方向固定不变并且大小也不变的直流电。
2.脉动直流电
脉动直流电是指方向固定不变,但大小随时间变化的直流电。
1.3.2 交流电
交流电是指方向和大小都随时间作周期性变化的电压或电流
1.正弦交流电
2.周期和频率
(1)周期
交流电变化过程是不断重复的,交流电重复 变化一次所需的时间称为周期,周期用 T 表示,单位是秒(s)。
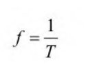
(2)频率
交流电在每秒钟内重复变化的次数称为频率,频率用 f 表示,它是 周期的倒数,即
该交流电的频率 f=50Hz,说明在 1s 内交流电能重复 0 ~ t4 这个过程 50 次。交流电变化越快,变化一次所
需要的时间越短,周期就越短,频率就越高。
(3)高频、中频和低频
频率在 3MHz 以上的信号称为高频信号,频率在 300kHz ~ 3MHz 范围内的信 号称为中频信号,频率低于 300kHz 的信号称为低频信号。
3.瞬时值和有效值
(1)瞬时值
交流电的大小和方向是不断变化的,交流电在某一时刻的值称为 交流电在该时刻的瞬时值。
(2)有效值
所示两个电路中的电热丝完全一样,现分别给电热丝通交流电和直流电,如果两电路通电时间相同,并且电热丝发出热量也相同,对电热丝来说,这里的交流电和直流电是等效的,那么就将图 1-21(b)中直流电的电压值或电流值称为图 1-21(a)中交流电的有效电压值或有效电流值。正弦交流电的有效值与最大瞬时值的关系是
4.相位与相位差
(1)相位
交流电在某时刻的角度称为交流电在该时刻的相位。
(2)相位差
相位差是指两个同频率交流电的相位之差。
两个交流电存在相位差实际上就是两个交流电变化存在着时间差。






























